Derek Thompson shared a few fascinating charts.
Teenagers in the US aren’t reading.

They (along with adults) aren’t partying either.

But everyone is watching more YouTube (and TikTok).

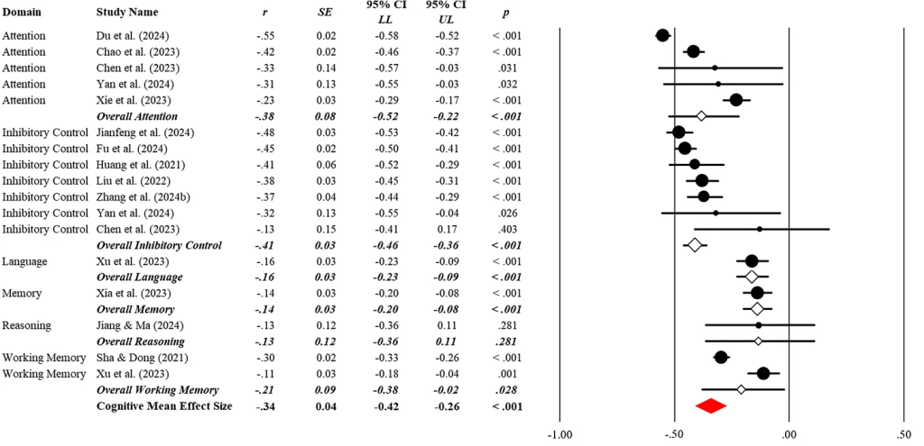
The link between spending time on TikTok and most brain functions – from attention to memory to reasoning to inhibitory control are all negative. TikTok is melting our brain.

We’re seeing more young adults dislocated from both the economy and society.

Jonathan Haidt unearthed a fascinating insight among 12th graders – finding that conservatism and religion helped reduce the impact of this dislocation.

His hypothesis is that conservatism and religion might offer a binding moral matrix that protects young people from a rapidly changing world. While progressive moralities aim to grant people more freedom to “create their own identities”, this freedom is likely causing anxiety.
Societal dislocation and the legalization of gambling presents a toxic combination.

And this one continues to blow my mind – leading to the largest measles outbreak in the US in 20 years.

